- Joined
- Jul 10, 2014
- Messages
- 22,294
- Reaction score
- 42,105
View attachment 224621
For starters it is EPIANDRO
Secondly it has a delivery system.
3rd this is lab tested and produced in an FDA approved lab. Not some fly by night brand.
Use code "WES15" in the discount code section at checkout to save 15% off this and all orders:
View attachment 224619
Strength & Energy†
Supports Lean Muscle†
Muscle Hardening†
Helps Recovery†
Helps Aggression†
Supports Water Balance†
View attachment 224620
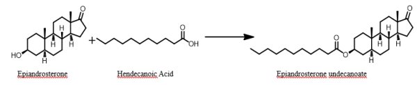
Epiandrosterone Undecanoate
A superior form of the compound Epiandrosterone that is enanthated and is called Epiandrosterone Undecanoate which has a much higher conversion and absorption rate. This means much more of the compound is converted in the body absorbed and utilized. Epiandrosterone Undecanoate converts in the body to an androgen called Dihydrotestosterone (DHT).†
Converts to Dihydrotestosterone (DHT)
Ingredients
(per capsule)
Stanolone is the hormone that epiandrosterone converts to in the body and it is very androgenic. This compound will not produce remarkable size gains in comparison to other prohormones, but it is especially good for strength gains and muscle density and definition which makes it great to use during a cutting cycle or alongside a prohormone that helps build mass during a bulking phase for a balanced strength and size stack. One additional benefit of epiandrosterone is that it appears to have some immediate neurological effects so having a dose pre-workout can aid in strength and aggression.†
6,7-dihydroxybergamottin (DHB) is a furanocoumarin found in grapefruit juice. DHB helps to prevent the oxidation of some compounds and increasing oral bioavailability. DHB helps increase absorption and helps extend the half-life (remains in the bloodstream longer) of compounds yielding better results of prohormones.†
Piperine (from black pepper) helps enhance the absorption or bioavailability of certain compounds such as prohormones.†
Method For DHEA Enanthate Processing
Abstract
A method is provided for producing dehydroepiandrosterone (DHEA) enanthate. The method comprises placing a portion of unprocessed DHEA into a solvent, such as Benzene, and allowing the DHEA to dissolve completely into the solvent, thereby forming a solution. The unprocessed DHEA preferably comprises unprocessed 5-DHEA, 1-DHEA, or 4-DHEA. A suitable quantity of Pyridine is then mixed into the solution. Heptanoyl Chloride is added slowly into the solution to cause a reaction of the unprocessed DHEA. Once substantially all of the unprocessed DHEA has been reacted, the addition of Heptanoyl Chloride is ceased. An effective amount of the DHEA enanthate may be administered to a human so as to improve at least one of adrenal hormonal balance, supports immune system function, healthy adipose tissue, skeletal muscle growth, healthy water weight, supports recovery from training, supports strength and endurance.†
Our Patent: https://patents.google.com/patent/US20160362443A1/en
Suggested Use
Take one (1) to two (2) capsules two times daily in divided doses. Use in cycles of 4-8 weeks only and take 8 weeks off in between cycles.
For starters it is EPIANDRO
Secondly it has a delivery system.
3rd this is lab tested and produced in an FDA approved lab. Not some fly by night brand.
Use code "WES15" in the discount code section at checkout to save 15% off this and all orders:
View attachment 224619
Strength & Energy†
Supports Lean Muscle†
Muscle Hardening†
Helps Recovery†
Helps Aggression†
Supports Water Balance†View attachment 224620
Epiandrosterone Undecanoate
A superior form of the compound Epiandrosterone that is enanthated and is called Epiandrosterone Undecanoate which has a much higher conversion and absorption rate. This means much more of the compound is converted in the body absorbed and utilized. Epiandrosterone Undecanoate converts in the body to an androgen called Dihydrotestosterone (DHT).†
Converts to Dihydrotestosterone (DHT)
Ingredients
(per capsule)
- Epiandrosterone Undecanoate – 100mg
- 6,7-dihydroxybergamottin (DHB) – 25mg
- Piperine (from black pepper) – 10mg
Stanolone is the hormone that epiandrosterone converts to in the body and it is very androgenic. This compound will not produce remarkable size gains in comparison to other prohormones, but it is especially good for strength gains and muscle density and definition which makes it great to use during a cutting cycle or alongside a prohormone that helps build mass during a bulking phase for a balanced strength and size stack. One additional benefit of epiandrosterone is that it appears to have some immediate neurological effects so having a dose pre-workout can aid in strength and aggression.†
6,7-dihydroxybergamottin (DHB) is a furanocoumarin found in grapefruit juice. DHB helps to prevent the oxidation of some compounds and increasing oral bioavailability. DHB helps increase absorption and helps extend the half-life (remains in the bloodstream longer) of compounds yielding better results of prohormones.†
- Helps Increase Absorption
- Helps Extend Half-Life
- Helps Maximize Effectiveness
Piperine (from black pepper) helps enhance the absorption or bioavailability of certain compounds such as prohormones.†
Method For DHEA Enanthate Processing
Abstract
A method is provided for producing dehydroepiandrosterone (DHEA) enanthate. The method comprises placing a portion of unprocessed DHEA into a solvent, such as Benzene, and allowing the DHEA to dissolve completely into the solvent, thereby forming a solution. The unprocessed DHEA preferably comprises unprocessed 5-DHEA, 1-DHEA, or 4-DHEA. A suitable quantity of Pyridine is then mixed into the solution. Heptanoyl Chloride is added slowly into the solution to cause a reaction of the unprocessed DHEA. Once substantially all of the unprocessed DHEA has been reacted, the addition of Heptanoyl Chloride is ceased. An effective amount of the DHEA enanthate may be administered to a human so as to improve at least one of adrenal hormonal balance, supports immune system function, healthy adipose tissue, skeletal muscle growth, healthy water weight, supports recovery from training, supports strength and endurance.†
Our Patent: https://patents.google.com/patent/US20160362443A1/en
Suggested Use
Take one (1) to two (2) capsules two times daily in divided doses. Use in cycles of 4-8 weeks only and take 8 weeks off in between cycles.


